Solve on {eq}(0,\infty) {/eq} {eq}x^2y''xy'(x^2\frac{1}4)y=x^{\frac{3}2} {/eq} Given two solutions to the associated homogeneous differential equationI'm working on finding the general solution of $(x^21)y''4xy'2y=0$ in powers I assume the form $$ y(x)=\sum_{n=0}^\infty C_nx^n$$ My basic strategy is to first figure out each piece individually, shift the indexes if necessary, and then rewrite it into one seriesAnswer and Explanation 1 We have the differential equation x2y′′−4xy′6y =0 (1) x 2 y ″ − 4 x y ′ 6 y = 0 ( 1) This is a Cauchy ODE We will deal with it by making the
Chebyshevs Differential Equation Math Assignment Docsity
(x^2-1)y''+4xy'+2y=0
(x^2-1)y''+4xy'+2y=0-2x·2y = 4xy if 0 ≤ x ≤ 1 and 0 ≤ y ≤ 1 0otherwise is exactly the same as f(x,y), the joint density, for all x and y Example 4 X and Y are independent continuous random variables, each with pdf g(w) =Y = −x 2g0(y) = 6y −x2 3 so that g0(y) = 6y2 3 That gives g(y) = 2y3 3y Put this back in to get the full solution, f(x,y) = c x3 −x2y 2x2y3 3y = C 3 Problem 4 (2xy2 2y)(2x2y 2x)dy dx = 0 Check for "exactness" M y = 4xy 2 N x = 4xy 2 Now set f(x,y) = Z M dx = Z 2xy2 2ydx = x2y2 2xy g(y) And check to see that f y



If 2x 2 2y 2 2x 2y 1 0 Then What Is The Value Of X Y Quora
Equation at the end of step 1 ((2x 2 • y) 4xy) 2y = 0 Step 2 Step 3 Pulling out like terms 31 Pull out like factors 2x 2 y 4xy 2y = 2y • (x 2 2x 1) Trying to factor by splitting the middle term 32 Factoring x 2 2x 1 The first term is, x 2 its coefficient is 1 The middle term is, 2x its coefficient is 2X 1/y = 2 xy 1 = 2y (1) = {(x2y 4xy x)(2 – x)} / (2xy – x2y) = {x(xy 4y 1)(2 – x)} / {x(2y – xy)} Q19 The distance between points P and Q is 485 km If a person starts from point P with the speed of 60 km/h and another person is running with a certain speed from point Q and they both meet after 25 hours then find the speed of the person who starts from point QSolution for 1) Solve x2y" 4xy' 2y = 0 Q The City Council proposed to utilize a governmentowned land with an area of 15,000 square metersO A From the given information, the total area of land is xy=It is also given that the one third
Explanation We have (x −2y 1)dx (4x − 3y −6)dy = 0 Which we can write as dy dx = − x − 2y 1 4x −3y − 6 A Our standard toolkit for DE's cannot be used However we can perform a transformation to remove the constants from the linear numerator and denominator Consider the simultaneous equationsX 1/y = 2 xy 1 = 2y (1) = {(x2y 4xy x)(2 – x)} / (2xy – x2y) = {x(xy 4y 1)(2 – x)} / {x(2y – xy)} = {(xy 4y 1)(2 – x)} / {y(2 – x Comparing the given equation with Mdx Ndy = 0, we get M = x 2 4xy 2y 2, N = y 2 4xy 2x 2 dM/dy = 4x 4y dN/dx = 4y 4x Therefore, dM/dy = dN/dx So, the given differential equation is exact On integrating M wrt x, treating y as a constant, On integrating N wrt y, treating x as a constant,
Click here👆to get an answer to your question ️ The number of distinct pairs (x,y) of real numbers that satisfy the equation 4x^2 4xy 2y^2 2y 1 = 0 isAll equations of the form a x 2 b x c = 0 can be solved using the quadratic formula 2 a − b ± b 2 − 4 a c The quadratic formula gives two solutions, one when ± is addition and one when it is subtraction y^ {2}2yx^ {2}2xz^ {2}1=0 y 2 − 2 y x 2 − 2 x z 2 1 = 0And 2 others joined a min ago Continue with Google Continue with email 0 869 views Solve (xy 3 y)dx 2(x 2y 2 x y 4) = 0 written 33 years ago by smitapn612 ♦ 70 modified 14 months ago by Sanket Shingote ♦ 560 differential equations of first order



Find Dy Dx Of X 2 Y 2 2 4xy Sarthaks Econnect Largest Online Education Community



Assign 2 0 Mth 421a Assignment Are The Following Functions Linearly Dependent Studocu
Equation at the end of step 2 0 y • (2y 2 4yx 3y 5x 1) = 0 Step 3 Equation at the end of step 3 y • (2y 2 4yx 3y 5x 1) = 0 Step 4 Theory Roots of a product 41 A product of several terms equals zero When a product of two or more terms equals zero, then at least one of the terms must be zero We shall now solveWe could certainly use this in this case and go down a rabbit hole of arithmetic with y(x) centered on 1 (we would have to change the equation above to ((x − 1) 2 2 (x − 1) 1) y ″ − 4 ((x − 1) 1) y ′ 4 y = 0 to center everything on 1, and then calculate the values of the a i that make the equation equal zero) That would work, but this equation is pretty weFree math problem solver answers your algebra, geometry, trigonometry, calculus, and statistics homework questions with stepbystep explanations, just like a math tutor



Www Gecnawada Org In Wp Content Uploads Sites 17 03 Null 1 Pdf



Cierto O Falso 1 X Y 2y 4y 0 7 2 X Y Chegg Com
maths Find the gradient of xy^2 x^2y=4xy at the point (1,3)?Solve your math problems using our free math solver with stepbystep solutions Our math solver supports basic math, prealgebra, algebra, trigonometry, calculus and moreSolution for 2x^2y4xy= equation Simplifying 2x 2 y 4xy = 0 Reorder the terms 4xy 2x 2 y = 0 Solving 4xy 2x 2 y = 0 Solving for variable 'x' Factor out the Greatest Common Factor (GCF), '2xy' 2xy(2 x) = 0 Ignore the factor 2 Subproblem 1



Consider The Equation X 2 Y 4xy X 2 1 Y Chegg Com



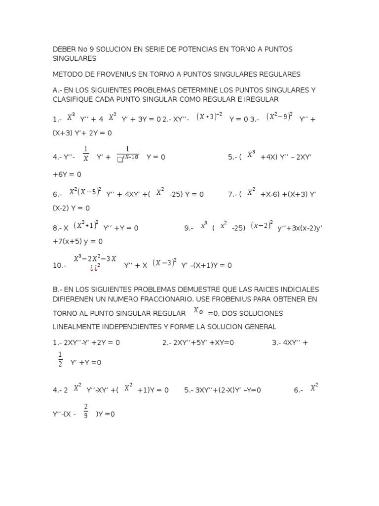
Deber No 9 Solucion En Serie De Potencias En Torno A Puntos Singulares Ensenanza De Matematica
Solution for (xy) (4x2y)= equation Simplifying (x 1y) (4x 2y) = 0 Multiply (x 1y) * (4x 2y) (x (4x 2y) 1y * (4x 2y)) = 0 ( (4x * x 2y * x) 1y * (4x 2y)) = 0 Reorder the terms ( (2xy 4x 2) 1y * (4x 2y)) = 0 ( (2xy 4x 2) 1y * (4x 2y)) = 0 (2xy 4x 2 (4x * 1y 2y * 1y)) = 0 (2xy 4x 2 (4xy 2y 2 )) = 0 Reorder the terms (2xy 4xy 4x 2 2y 2) = 0 Combine like terms 2xy 4xy = 6xy (6xy 4x 2 2y 2) = 0Example (54) Find all the singular points of the di erential equation x2(1 x2)y00 2 x y0 4y = 0, and determine whether each one is regular or irregular Example (5421) Find all the singular points of the di erential equation (1 x2)2y00 x(1 x)y0 (1 x)y = 0, and determine whether each one is regular or irregularQuestion 4 SURVEY 30 seconds Q The differential equation 3 ( y 4 1) d x 4 x y 3 d y = 0 3\left (y^4\ 1\right)dx\ 4xy^3dy\ =\ 0 3(y4 1)dx 4xy3dy = 0 has an integrating factor equals to answer choices 12 y 3



Solve The Following Equation Using The Method Of Chegg Com



Find A Series Solution About The Point X 0 Of 1 X 2 Y 2xy 2y 0 Youtube
On inspection, we'd expect one solution to be a quadratic polynomial If we assume that mathy=ax^2bxc,/math so mathy'=2axb/math and mathy''=2a/mathMath Input NEW Use textbook math notation to enter your math Try it0 ( a) Use two power series in x to find the general solution of ( 1 x 2) y ″ 4 x y ′ 2 y = 0 and state the set of x values on which each series solution is valid ( b) Convert the power series solutions in ( a) into simple closedform expressions ( c) Use ( b) to find the general solution of the equation above on the whole real line



Solve The Differential Equation Dy Dx X 2y 2x Y 0



Verify That Y 1 1 X 1 And Y 2 1 X 1 Are Chegg Com
2xy9x^2(2yx^21)\frac{dy}{dx}=0, y(0)=3 en Related Symbolab blog posts Advanced Math Solutions – Ordinary Differential Equations Calculator, Linear ODE Ordinary differential equations can be a little tricky In a previous post, we talked about a brief overview of4x 2 y 3 4xy 2 y = 0To find dy/dx we need to differentiate all the terms in the equation As you may notice the x's and y's are mixed together so we will have to use implicit differentiation Since we are differentiating in terms of x, all of the x terms can be differentiated as usual, whilst the y terms will be followed by a dy/dx The first two terms are more straight forward to dealFind the value of k, if the equation `2x^(2) 4xy 2y^(2) 4x 8y k = 0` represents a pair of lines, Further find whether these lines are parallel or intersecting 285 K Views 98 K Likes 2



How To Solve This Differential Equation Math 1 X 2 Y 6xy 4y 0 R T Math Quora



Variations Of Parameters For Solving X 2y 4xy 6y X 3 Yc C1x 2 C2x 3 Youtube
We let 𝑥0=01 and 𝑦0=1 and pick a step size ℎ=02 calculus 1Solve the differential equation dy/dx= y^2/x^3 for y=f(x) with the condition y(1) = 1 2Solve the differential equation y prime equals the product of 2 times x and the square root of the quantity 1 minus yClick here👆to get an answer to your question ️ If the curves ax^2 4xy 2y^2 x y 5 = 0 and ax^2 6xy 5y^2 2x 3y 8 = 0 intersect at four con cyclic points then the value of a isWeekly Subscription $199 USD per week until cancelled Monthly Subscription $699 USD per month until cancelled Annual Subscription $2999 USD per year until cancelled



Engineering Mathematics Notes



Power Series Solution For Y 2y Y X Y 0 0 Y 0 1 Youtube
Given2x^2 4xy 7y^212x2yt=0 2x 2 4x (y3)7y 2 2yt=0 discriminant should be=0 for one solution so 16 (y3) 2 8 (7y 2 2yt)=0 on simplifying we get 5y 2 10yt18=0 Againdiscriminant=0 for 1 solution 100 (t18)=0 we get t=23 5x^2 4xyy^2 2x1=0 求x y—— 5x^24xyy^22x1=0 4x²4xyy²x²2x1=0(2xy)²(x1)²=0则必有2xy=0x1=0解得x=1;y=2 5x的平方4xyy的平方2x1=0 求xy—— 5x²5xyy²2x1=04x²y²4xy2xx²1=0(2xy)²(x1)²=0得{2xy=0① {x1=0②由②,得x=1把x=1代入①,得2y=0∴y=2∴方程组的解是{x=1Math Please help me with this, given that x^2y^23xy4xy^3=5 find dy/dx by implicit differentiation



Differential Equation Variation Of Parameters X 2y 4xy 6y X 4 Youtube



Misc 7 Show That General Solution Is X Y 1 A 1 X Y 2xy
Best answer First we have to solve the homogeneous equation (31) x2y" − 4xy' 6y = 0 This is an EulerCauchy equation, so we look for solutions of the form y = xm The characteristic equation for m is m (m − 1) − 4m 6 = 0 Note m (m − 1) − 4m 6 = m2 − 5m 6 = (m − 2) (m − 3), so the roots are m = 2 and m = 3Find the general solution in powers of x of the differential equation (x^2 1)y" 4xy' 2y = 0 Assume the form y (x) = Sigma^infinity _n = 0 c_nx^n Then y' (x) = Sigma^infinity _n = 1 c_nx^n1 y" (x) = Sigma^infinity _n = 2 c_nx^n2 x^2y" (x) = Sigma^infinity _n = 2 c_nx^n y" (x) = Sigma^infinity _n = 0 c_nx^n 4xy' (x) = Sigma^infinity _n = 1 c_nx^n 2y (x) = Sigma^infinity _n = 0 c_nx^n Then (x^2 1)y" 4xy' 2y = Sigma^infinity _n = 1 c_n2 c_n 1 c_nxHow to find dy/dx by implicit differentiation given that x^2 4xy y^2 = 4Here's the 4 simple steps we will take in order to find dy/dx from the given equ



Solving A System Of Equations Using A Matrix Precalculus Socratic



1
Extended Keyboard Examples Upload Random Compute answers using Wolfram's breakthrough technology & knowledgebase, relied on by millions of students & professionals For math, science, nutrition, history, geography, engineering, mathematics, linguistics, sports, finance, music Solve the initial value problem (x 21)y''4xy'2y=(2/x1), y(0)=1, Y'(0)=5 given y 1 (x)=(1/x1) and y 2 (x)=(1/x1) are solutions to theStepbystep Solution Simplify the expression $\frac{2y^24xy2x^2xy^22x^2yx^2x1y}{2y^24xy2x^22xy^24x^2y2x^2x12y}$



Profs Info Uaic Ro Fliacob An2 17 18 Modelare matematica Resurse Patrick bourque Differential equations Pdf



Adadadadadadadadadadadadadadada Docsity
If 2y = x1x1, show that 4(x2 – 1)y2 4xy1 – y = 0Find a series solution about the point x=0 of (1x^2)y"2xy'2y=0Skuolanet News è una testata giornalistica iscritta al Registro degli Operatori della Comunicazione Registrazione n° 792 del ©00—21 Skuola Network srl Tutti i diritti



Series Solution Differential Equation Y T 2y 0 Using Summation Techniques Youtube



Answered 1 Solve X2y 4xy 2y 0 Bartleby
If x dy = y (dx y dy), y(1) = 1 and y(x) > 0, then y(3) is equal to If X Follows A Binomial Distribution With Parameters N 6 And P And 4 Px 4 Px 2 Then P If X Is Added To Each Of Number 3 9 21 So That The Resulting Numbers May Be In Gp Then The Value Of X Will Be y2 = (C1( x3 4) C2( 1 x)) Now the first solution is given when C1 = 0, then the second solution can be when C2 = 0 which is x3 4 otherwise there are infinite solutionsby just filling the constants To check y = x3 4 y' = 3 4 x2 y'' = 3 2x Substitute x2(3 2 x) − x( 3 4x2) − 3( x3 4) = 0Find dy/dx x^24xyy^2=13 Differentiate both sides of the equation Differentiate the left side of the equation Tap for more steps Differentiate Tap for more steps By the Sum Rule, the derivative of with respect to is Differentiate using the Power Rule which states that is where



Http People Whitman Edu Hundledr Courses M244s12 M244 M244sol Pdf



Http Cda Mrs Umn Edu Mcquarrb Teachingarchive M2401 Hw 5 4 Pdf
Mumbai University > First Year Engineering > sem 2 > Applied Maths 2 Marks 4 Year 14



2



University Calculus Elements With Early Transcendentals 1st Edition H



Chebyshevs Differential Equation Math Assignment Docsity



3 Consider The Following Differential Equation 0o And A Series Solution To The Differential Equation Of The Form A 34 Homeworklib



Answered 4xy 3x Dy 0 Find An Bartleby



What Is The Solution To This Differential Equation Math 4x 2y 4xy Left 4x 3 Right Y 0 Math Quora



1 Find The General Solutions X 2y 4xy 6y 0 Chegg Com



Www Math Utah Edu Zwick Classes Fall13 2280 Assignments Assignment11 Solutions Pdf



Solucionarioecuacionesdiferencialesdenniszill7aedicion P



2



2



Solved X 2 16 Y N 4xy 2y 0 Two Linearly Independent Power Series Around The Ordinary Point X0 0 Of The Differential Equation Your Solutio Course Hero



If 2x 2 2y 2 2x 2y 1 0 Then What Is The Value Of X Y Quora



X 2 Y 4xy 2y 0 Cauchy Euler Equation



Use The Method Of Frobenius To Solve Xy 2y 4 Xy 0 Homeworklib



Solve X 2 1 Y 4xy 2y 2 X 1 Such That Chegg Com



View Question 1 The Equation Of A Circle Is X 2 Y 2 4x 2y 11 0 What Are The Center And The Radius Of The Circle Show Your Work



The Power Series Solution In Power Of 2 Of The Chegg Com



1



Math 432 Hw 2 4 Solutions Frostburg



How To Solve A Differential Equation With Series X 1 Y Xy Y 0 With Y 0 2 Y 0 6 Youtube



Http Www Uwyo Edu Spitler Courses 2310 317 Pdf Textchap3problems Pdf



Solutions To Implicit Differentiation Problems



Use Power Series To Solve X2 1 Y 4xy 2y 0 2 Chegg Com



Consider The Following Differential Equation 4 X 2y 3 X Y 14 X 2y 0 Homeworklib



Solve X 2y 3xy 9y 0 Cauchy Euler Differential Equation Youtube



3 2 Problems Find General Solutions In Powers Of X Of Chegg Com



Engineering Mathematics Notes



3 Given X2 1 Y 4xy 2y 2x Y 0 0 Y Chegg Com



Prove That The Conic X 2 4xy Y 2 2x y 11 0 Is A Hyperbola And Find The Centre H K Mathematics Stack Exchange



Solve The Cauchy Euler Differential Equation X 2y 2y 0 Youtube



Solution Find The Equation Of The Tangent Line And Normal Line To The Curve X 2 4xy Y 2 13 At 2 1 F 39 X 2x Xy 2y 0 F 39 X Y 2 2 2 1 2 1 0 4 2 2 8 Slope 8 Y Y1 M X X1 Y 1



2



2



How To Solve This Differential Equation Math 1 X 2 Y 6xy 4y 0 R T Math Quora



Series Solutions Of Odes 微分方程式之級數解 Special Functions 特殊方程式 Ppt Video Online Download



Www3 Nd Edu Craicu 16bspring11 Quizzes Q2solns Pdf



How Could I Write This Equation X 2 1 Y 4xy 2y 0 In Principle Fundamental Matrix Solution Of The First System In Ode Quora



Assignmnt I14 Ma019 Pdf Differential Equations Theoretical Physics



What Is The Solution Of Differential Equation D 2y Dx 2 2 Dy Dx Y 0 When X 0 Y 1 Dy Dx 2 Quora



Solved X 2 16 Y N 4xy 2y 0 Two Linearly Independent Power Series Around The Ordinary Point X0 0 Of The Differential Equation Your Solutio Course Hero



Use Power Series To Solve X2 1 Y 2xy 2y 0 1 Chegg Com



2



Solutions



Find The General Solution In Powers Of X Of The Chegg Com



Power Series Solution 1 X 2 Y 4xy 6y 0 Homeworklib



Math Hawaii Edu Yuen 242handouts Math242 Chapters 16 17 Pdf



Polynomial Solution Of The Equation 1 X 2 Y 2xy 6y 0 Mathematics Stack Exchange



Www Utdallas Edu Efrom Solhw Pdf



What Is The Solution To The Differential Equation Math 1 X 2 Y 2xy 2y 0 Math Quora



Kurtz Wordpress Ncsu Edu Files 02 Lagrange Multipliers Pdf



Www Ualberta Ca Csproat Homework Math 334 Assignment solutions Assignment 6 solutions Pdf



Differential Equation Power Series Solution 1 X 2 Y Xy Y 0 Youtube



Solve X 2y Xy 36y 0 Cauchy Euler Differential Equation Example Youtube



Let F R R Is A Differntiable Function F X 2y F X F 2y 4xy For All X Y In R



If X 2 4y 2 4xy Thenx Y Brainly In



Find The General Solution For Each Equation 4x 2y Chegg Com



Www Iitr Ac In Departments Ma Uploads Tute 21 Pdf



Solucion Por Series De Colin Mclaurin Edo X 1 Y 4xy 2y 0 Youtube



Www Slps Org Cms Lib03 Mo Centricity Domain 8507 Algebra 150 Study guide and interventions Chapter 6 Answers 6 2 s G and i answers Pdf



Verify That Y1 1 X 1 And Y2 1 X 1 Are Solutions Chegg Com



Exercise 3 Xy 2y 0 Exercise 4 Xạy 4xy 6y Chegg Com



Www3 Nd Edu Taylor Math550 Images Currentexamsolutions Exam4f16 Pdf



Systems Of Equations With Elimination 4x 2y 5 2x Y 2 5 Video Khan Academy



Http Sycon Rutgers Edu Asbuch Geometry F13 Classify Pdf



Http Www Users Math Umn Edu Yang1173 Docs 12sq7a Pdf



1



Answered Show Whether Or Nit Each Of The Bartleby



Problem Set7



17 Differential Equations Page 335 336 6 X6 B Cn 2 2n 1 N 2 N 1 Cn 17 5 Power Series Solutions 17 31 Exercises 17 5 In Exercises 118 Use Power Course Hero



2nd Order Linear Homogeneous Differential Equations 3 Video Khan Academy



Www Ualberta Ca Csproat Homework Math 334 Assignment solutions Assignment 7 solutions Pdf



Power Series Solution 1 X 2 Y 4xy 6y 0 Homeworklib



Find The General Solution In Powers Of X Of The Chegg Com



1 Find General Solutions In Powers Of R Of The Chegg Com



2xy 1 2x 2 Y 4xy 0 Solve The Following Chegg Com



Exact Equations Example 3 Video Khan Academy



Search Q D 5e2y Dx 5e2 Formula Tbm Isch



1 Derive A Power Series Solution Of The Ordinary Differential Equation De In Powers Of R Find Th Homeworklib



Power Series Solution 1 X 2 Y 4xy 6y 0 Homeworklib


0 件のコメント:
コメントを投稿